Помощь
-
Поиск
-
Пользователи
-
Календарь
Полная версия:
помогите пожалуйста решить > Дифференцирование (производные)
Образовательный студенческий форум
>
Высшая математика
>
Дифференцирование (производные)
kooonfetkaaa
Сообщение
#77064
21.10.2011, 19:43
Вычислить производную у' функции
tig81
Сообщение
#77065
21.10.2011, 20:14
а прикрепите условие более читабельно
А заодно можно и решение в таком же виде.
Как это сделать, смотрите в прикрепленной теме в данном разделе.
kooonfetkaaa
Сообщение
#77066
21.10.2011, 20:19
а я разве не понятно написала, если да? то что не так?скажите пожалуйста
tig81
Сообщение
#77067
21.10.2011, 20:29
раз говорю, то значит да.
Уже вопросы в первом условии.
Так что лучше прикрепляйте печатный/набранный/сфотографированный вариант
Dimka
Сообщение
#77069
21.10.2011, 21:13
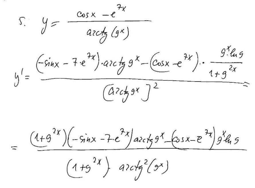
последний пример неправильно.
У Вас там путаница (то 9x, то 9^x)
kooonfetkaaa
Сообщение
#77077
22.10.2011, 6:27
а начало последнего хоть правильно?помогите решить его правильно...пожалуйста
tig81
Сообщение
#77078
22.10.2011, 8:03
Цитата(kooonfetkaaa @ 22.10.2011, 9:27)
а начало последнего хоть правильно?помогите решить его правильно...пожалуйста
Формулу записали верно, осталось, как уже и говорил Dimka, правильно найти производную от аргумента арктангенса
kooonfetkaaa
Сообщение
#77167
25.10.2011, 9:50
Вот правильно теперь последнее задание?
tig81
Сообщение
#77185
25.10.2011, 16:32
в третьей строке потеряли дробь во втором слагаемом числителя
kooonfetkaaa
Сообщение
#77250
27.10.2011, 12:43
Вот так правильно,теперь?
Нажмите для просмотра прикрепленного файла
tig81
Сообщение
#77256
27.10.2011, 14:01
Цитата
да
Это текстовая версия — только основной контент. Для просмотра полной версии этой страницы, пожалуйста,
нажмите сюда
.
Русская версия Invision Power Board © 2001-2026
Invision Power Services, Inc.