Помощь - Поиск - Пользователи - Календарь
Полная версия: Предел ряда с логаритмом > Пределы
Образовательный студенческий форум > Высшая математика > Пределы
akvarel
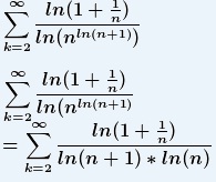
Мне надо определить предел ряда. Я дошла только до этого, дальше я не знаю как делать.
Буду благодарна за намёки-)
Нажмите для просмотра прикрепленного файла


И надо показать,что ряд имеет предел(определять его не надо). Дальше я опять же не додумалась.

Нажмите для просмотра прикрепленного файла
venja
Что означает предел ряда? Нет такого понятия.
akvarel
Мне надо показать. что ответ будет 1/ln2 . я думала,что это и есть предел
Это текстовая версия — только основной контент. Для просмотра полной версии этой страницы, пожалуйста, нажмите сюда.
Русская версия Invision Power Board © 2001-2026 Invision Power Services, Inc.