Цитата(tig81 @ 5.5.2011, 20:13)

Хм..
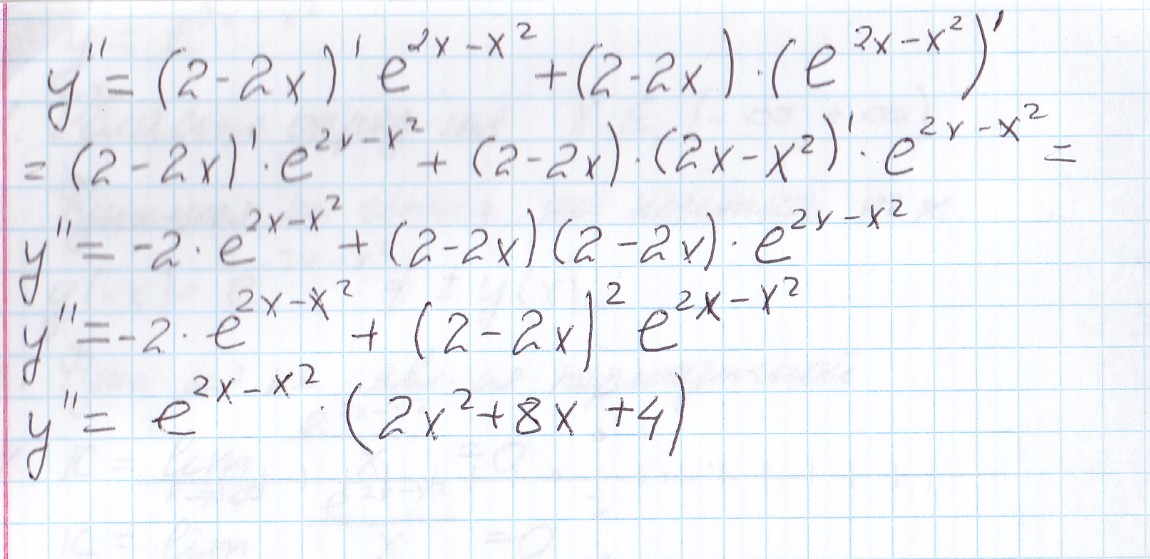
Ну если раскрыть скобки, то не то вроде все равно получится
Как последнюю строку получили? ПЕрвые два слагаемых в скобках проверьте.
В первой все правильно
Последнюю строку я делала по шаблону как программа и раскрыла скибки в (2-2х)^2
может производная = 2*е^(2х-х^2)+(2х-2)*(2-2х)*е^(2х-х^2)= 2*е^(2х-х^2)+4х-4х^(2)-4+4х*е^(2х-х^2)
=
2*е^(2х-х^2)+(8х-4х^(2)-4)*е^(2х-х^2)=е^(2х-х^2)+(8х-4х^(2)-4)
я вот не знаю куда
2 поставить