Здравствуйте!
Задание такое:
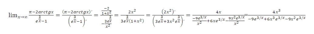
Найти предел, неопределенность вида 0/0
при x> бесконечность
(pi-2arctgx)/(e^(3/х)-1)
Никак не получается его решить... При нахождение производной e^(3/x)'=3/x^(2)*e^(3/x)
x^2 в знаменателе переходит в числитель, и так при каждом дифференцирование. Этот предел просто бесконечный...
Ответ должен быть 2/3.
Если бы x>0 , то ответ получился бы.
Как думаете имеет ли этот предел решение, или это ошибка в учебнике?
