Помощь
-
Поиск
-
Пользователи
-
Календарь
Полная версия:
lim(x->0)[(sqrt 1+4x)-1-2x]/x^2 > Пределы
Образовательный студенческий форум
>
Высшая математика
>
Пределы
Ksanchik
Сообщение
#71007
20.2.2011, 13:00
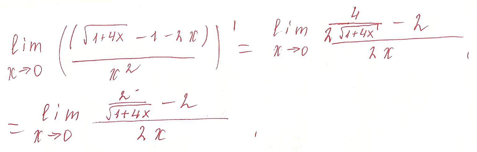
Вычислить предел функции с помощью правила Лопиталя
lim [(sqrt 1+4x)-1-2x]/x^2
x->0
У меня путаница с производной, подскажите пожалуйста
tig81
Сообщение
#71008
20.2.2011, 13:01
Показывайте свою путаницу
Ksanchik
Сообщение
#71012
20.2.2011, 13:44
Нажмите для просмотра прикрепленного файла
Получаем определённость типа 0/0.
Нужно взять производную от этого выражения ещё раз?
Тролль
Сообщение
#71013
20.2.2011, 13:45
Да.
Ksanchik
Сообщение
#71014
20.2.2011, 13:57
А какая производная от 2/(sqrt 1+4x)?
Тролль
Сообщение
#71016
20.2.2011, 14:04
Ее нужно найти по формуле (x^n)' = n * x^(n - 1).
граф Монте-Кристо
Сообщение
#71017
20.2.2011, 14:04
(u^n)' = n*u'*u^(n-1)
tig81
Сообщение
#71018
20.2.2011, 14:05
Цитата(Ksanchik @ 20.2.2011, 15:57)
А какая производная от 2/(sqrt 1+4x)?
sqrt u=u^(1/2)
1/x^n=x^(-n)
(cu)'=c*u'
(u^n)'=n*u^(n-1)*u'
Какая красота
Зашла, кроме автора темы никого не было и тут... ответов-то сколько
Ksanchik
Сообщение
#71019
20.2.2011, 14:15
Нажмите для просмотра прикрепленного файла
Тролль
Сообщение
#71020
20.2.2011, 14:16
Нет. 1/sqrt (1 + 4x) = (1 + 4x) в какой степени?
Ksanchik
Сообщение
#71024
20.2.2011, 14:32
В 1/2
Тролль
Сообщение
#71026
20.2.2011, 14:50
А если в знаменателе как здесь?
Ksanchik
Сообщение
#71041
20.2.2011, 17:31
(1+4х)^-1/2
Тролль
Сообщение
#71043
20.2.2011, 17:52
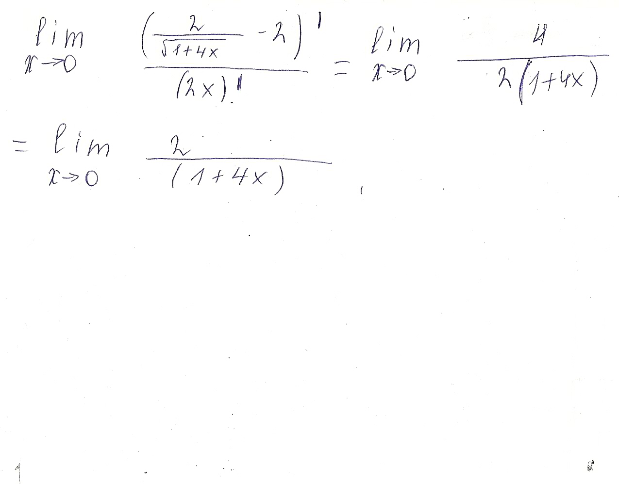
Теперь надо взять от этого выражения производную.
Ksanchik
Сообщение
#71045
20.2.2011, 17:54
Нажмите для просмотра прикрепленного файла
Посмотрите пожалуйста,может так?
Тролль
Сообщение
#71048
20.2.2011, 18:05
Ох, нет, всё не верно.
(1/(1 + 4x)^(1/2))' = ((1 + 4x)^(-1/2))' = -1/2 * (1 + 4x)^(-1/2 - 1) * (1 + 4x)' = -1/2 * (1 + 4x)^(-3/2) * 4 = -2 * (1 + 4x)^(-3/2)
Ksanchik
Сообщение
#71049
20.2.2011, 18:09
Спасибо большое
Это текстовая версия — только основной контент. Для просмотра полной версии этой страницы, пожалуйста,
нажмите сюда
.
Русская версия Invision Power Board © 2001-2026
Invision Power Services, Inc.