Цитата(Mett @ 11.1.2011, 8:37)

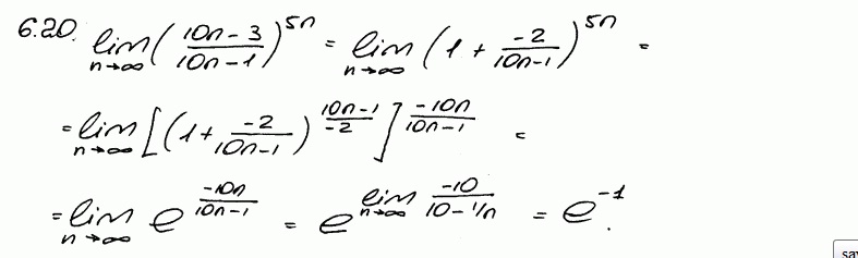
В примере lim ((10*n-3)/(10*n-1))^(5*n) as n->infinity
решаю подобным образом
Нажмите для просмотра прикрепленного файлапрепод говорит нужно чото там через прибавить единицу и отнять единицу и получиться должно типа (1+a)^(а*(1/а)*(5*n)),
У вас такое выражение получилось после второго знака равенства, только вы эту 1 выделили несколько иначе (и тоже правильно). Если преподаватель требует решить немного иначе, то в самом начале к выражению, которое стоит в скобках прибавьте и от него отнимите 1. Получите тот же результат. Разницы нет как делать.