Помощь - Поиск - Пользователи - Календарь
Полная версия: Исследование ряда > Ряды
Образовательный студенческий форум > Высшая математика > Ряды
pmm
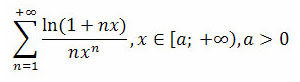
1) С помощью мажоратного признака Вейерштрасса доказать равномерную сходимость функционального ряда в промежутке. Нажмите для просмотра прикрепленного файла
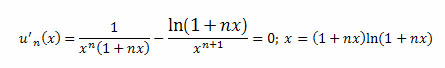
как я понимаю ищется U'n(x), равный Нажмите для просмотра прикрепленного файла
и на этом всё) как выразить x через n непонятно....

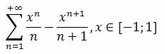
2) Исследовать на равномерную сходимость функциональный ряд в промежутке. Нажмите для просмотра прикрепленного файла
здесь какой лучше использовать признак?

3) Ну и напоследок, исследовать на сходимость числовой ряд. Нажмите для просмотра прикрепленного файла
с помощью признаков Раабе, Даламбера у меня не получилось... Может нужно сравнить с каким-либо рядом? Только с каким?
Тролль
1. Можно использовать то, что ln (1 + nx) < nx.
А 1/x^n <= 1/a^n. Вот вроде бы и всё.
3. Ряд ведет себя как 4/n.
Это текстовая версия — только основной контент. Для просмотра полной версии этой страницы, пожалуйста, нажмите сюда.
Русская версия Invision Power Board © 2001-2026 Invision Power Services, Inc.