Цитата(quba @ 20.12.2010, 18:56)

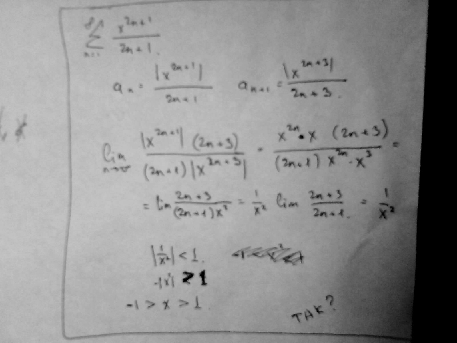
я хочу понять как мне правильно посчитать lim (An / An+1)
1. Определите наивысшую степень многочленов, стоящих в числителе и знаменателе.
2. Выбирите из полученных двух значений степеней максимальное.
3. Выносите х в максимальной степени в числителе и знаменателе.