Помощь - Поиск - Пользователи - Календарь
Полная версия: алгоритм линейной структуры. > Информатика / Программирование
Образовательный студенческий форум > Другие дисциплины > Информатика / Программирование
browneyed
в паскале. нужно выделить постоянную часть и вычислить ее в константном выражении до выполнения программы. вычислить значение выражения при всех конкретно заданных значениях переменных.

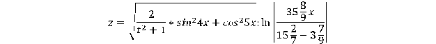
Нажмите для просмотра прикрепленного файла

Где t – любое целое; x=2,4; x=5,12
заранее огромное спасибо!!!!!!

Program E92;
Const
c= 2/(sqr(t)+1)
t:= Integer;
Var
x,z:= Real;
Begin
x:=2.4
z:=sqrt((t)*sqr(sin(4*x))+sqr(cos(5*x))/ln(abs((35+8/9)*x/(15+2/7-3+7/9))
writeln('x= ', x, 't= ', t, 'y= ', y);
x:=5.12
z:=sqrt((t)*sqr(sin(4*x))+sqr(cos(5*x))/ln(abs((35+8/9)*x/(15+2/7-3+7/9))
end.
Harch
Так что Вы хотите от нас?
Это текстовая версия — только основной контент. Для просмотра полной версии этой страницы, пожалуйста, нажмите сюда.
Русская версия Invision Power Board © 2001-2026 Invision Power Services, Inc.