Преподаватели могут предложить задачу студентам, она довольно интересна и имеет практическое значение.
Условие:
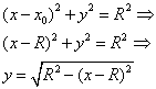
Есть две одинаковых окружности радиусом R;
эти окружности накладывают друг на друга (см. вложение-картинку).
Задача:
Найти такое расстояние между центрами окружностей X,
при котором площади S будут равны (S1=S2=S3).
Примечания:
Так как окружности одинаковые, то требуется буквенное решение задачи,
т.е. ответом будет уравнение вида X=f( R ).
Желательно привести полное решение, очень интересно каков все-таки результат
