Помощь - Поиск - Пользователи - Календарь
Полная версия: Найти длину дуги трактрисы > Интегралы
Образовательный студенческий форум > Высшая математика > Интегралы
Zlodey
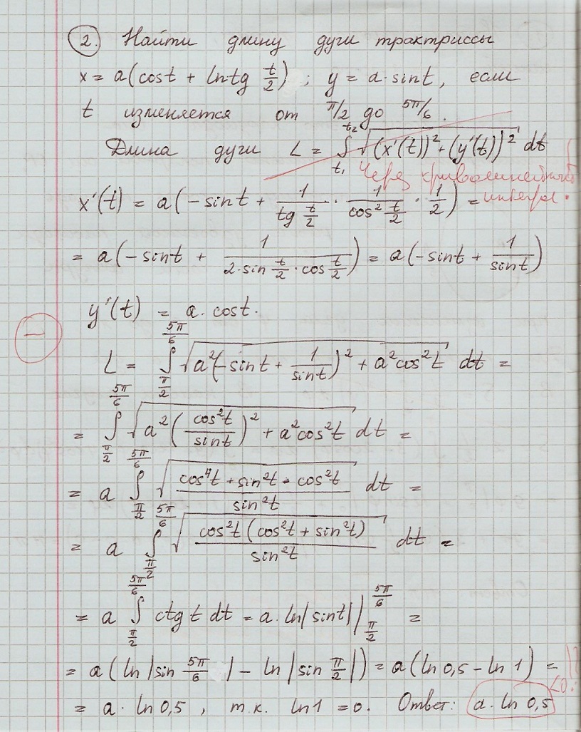
Всем привет. В одном из заданий типовика нужно посчитать длину дуги трактрисы через криволинейный (!) интеграл. Подскажите, что я сделал не так. Разве формула для вычисления длины дуги будет иметь какой-то другой вид? И кстати где тут ошибка зарыта?

Нажмите для просмотра прикрепленного файла
tig81
Посмотрите здесь на стр. 282 пример 10.1
Sasha1
пределы надо поставить наоборот. Нижний 5pi/6, а верхний pi/2.
Это текстовая версия — только основной контент. Для просмотра полной версии этой страницы, пожалуйста, нажмите сюда.
Русская версия Invision Power Board © 2001-2026 Invision Power Services, Inc.