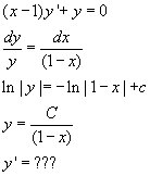
Цитата(граф Монте-Кристо @ 29.5.2010, 18:50)

Минус потеряли во второй строчке.
Точно, пропустила.
Цитата(tig81 @ 29.5.2010, 19:28)

Точно, пропустила.
В третьей строке перед логарифмом минус должен быть.
Тогда у=С/(1-х).
А зачем вам искать y', если вы ищите у?
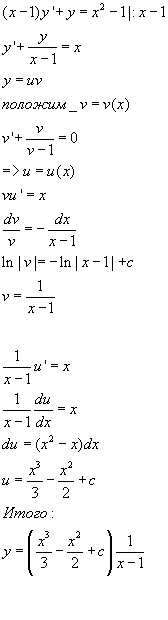
П.С. Но это вы нашли решение однородного уравнения, но изначально в правой части стоит некоторая функция.