Помощь - Поиск - Пользователи - Календарь
Полная версия: Затрял на одном месте. Пожскажите что дальше. > Интегралы
Образовательный студенческий форум > Высшая математика > Интегралы
Стасян
Вот Нажмите для просмотра прикрепленного файла
Dimka
здесь наверное лучше по частям
u=sqrt(f^2+1)
du=df
Стасян
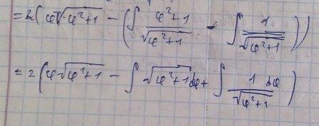
А дальше как?Нажмите для просмотра прикрепленного файла
Dimka
если первый интеграл умножаете на 2, то и после знака равенства тоже все слагаемые нужно умножить на 2. Не забывайте.

теперь в последнем интеграле в числителе добавить 1 и вычесть 1. Далее сгрупировать слагаемые (фи^2+1) /sqrt(фи^2+1) и 1/sqrt(фи^2+1). Первое слагаемое нужно упростить. Распишите что получилось. Со знаками внимательнее.
tig81
Int(1/cos^3(x)). А если числитель и знаменатель домножить на косинус, затем косинус в знаменателе записать через синус?
П.С. После подстановки пределы не пересчитали.
Цитата
А дальше как?

du=...dfi
uv - с подстановкой пределов
Посмотрите либо в числителе прибавить и отнять 1, либо биномиальный дифференциал, либо постановка fi^2+1=z^2, либо используя формулу int(P[n](x)/sqrt(x^2+ax+b ))=Q[n-1](x)/sqrt(x^2+ax+b )+k*int(dx/sqrt(x^2+ax+b ))
Стасян
Цитата
Первое слагаемое нужно упростить.

Как его упростить? поллучится sqrt(фи^2+1).
Dimka
совершенно верно. Дальше его переносим влево за знак равенства.
Стасян
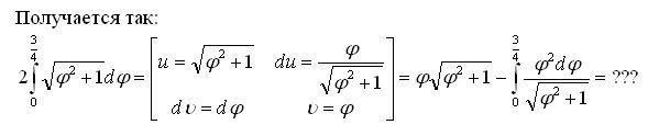
А для чего это нужно? Получается так:Нажмите для просмотра прикрепленного файла
Dimka
Совершенно верно. Теперь раскрывайте скобки (умножайте каждое слагаемое на 2) и переносите слагаемое с 2 int ( sqrt(фи^2+1) ) влево. Затем поделите левую и правую часть на 2. Что получилось?
Стасян
Как можно перенести влево? Если бы у нас было бы равенство, то можно. А тут как?
Dimka
Цитата(Стасян @ 18.4.2010, 15:43) *

Как можно перенести влево? Если бы у нас было бы равенство, то можно. А тут как?


Ваш исходный интеграл методом интегрирования по частям разложили на составляющие выражения как показано на рисунке. Теперь раскройте скобки и слагаемое, которое подчеркнуто красным перенесите влево. Дальше слева приведите подобные слагаемые и поделите все на 2.
Стасян
Получилось так int(sqrt(f^2+1))=1/2(f*sqrt(f^2+1))+int(df/sqrt(f^2+1)
Dimka
Ну я же просил на 2 поделить, а не на 4
Стасян
2int(sqrt(f^2+1)=f*sqrt(f^2+1)+int(df/sqrt(f^2+1)
Dimka
ну да. Теперь осталось последний табличный интеграл посчитать и подставить пределы интегрирования.
Стасян
Потом дальше будет f*sqrt(f^2+1)+LN(f+sqrt(f^2+1). Осталось подставить пределы интегрирования. Будет: =15/32+LN2=1.161
Dimka
(15/16)+ln2
Стасян
Блин точно. Опять эту двойку написал в знаменателе
Это текстовая версия — только основной контент. Для просмотра полной версии этой страницы, пожалуйста, нажмите сюда.
Русская версия Invision Power Board © 2001-2026 Invision Power Services, Inc.