Помощь
-
Поиск
-
Пользователи
-
Календарь
Полная версия:
Область сходимости ряда > Ряды
Образовательный студенческий форум
>
Высшая математика
>
Ряды
n@t@lk@
Сообщение
#56056
14.4.2010, 10:00
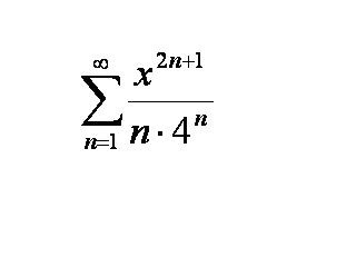
Помогите найти область сходимости ряда:
сумма от 1 до бесконечности (x^(2n+1))/n*4^n/
пожалуйста!
Нажмите для просмотра прикрепленного файла
граф Монте-Кристо
Сообщение
#56066
14.4.2010, 13:37
По признаку Даламбера.
Это текстовая версия — только основной контент. Для просмотра полной версии этой страницы, пожалуйста,
нажмите сюда
.
Русская версия Invision Power Board © 2001-2026
Invision Power Services, Inc.