Iskander
Сообщение
#55896 12.4.2010, 14:47
tig81
Сообщение
#55905 12.4.2010, 16:01
Правила форума Ваши идеи по решению?
Iskander
Сообщение
#55909 12.4.2010, 16:08
подскажите хотя бы формулы...
tig81
Сообщение
#55912 12.4.2010, 16:16
В гугле: "Применение определенного интеграла".
Стасян
Сообщение
#56024 13.4.2010, 20:08
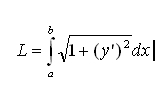
Длина дуги вычисляется по формуле
Нажмите для просмотра прикрепленного файла. Выражайте "у" и находите призводную
Iskander
Сообщение
#56026 13.4.2010, 20:40
Цитата(Стасян @ 13.4.2010, 20:08)

Длина дуги вычисляется по формуле
Нажмите для просмотра прикрепленного файла. Выражайте "у" и находите призводную

спасибо!
Это текстовая версия — только основной контент. Для просмотра полной версии этой страницы, пожалуйста,
нажмите сюда.